


乌鲁木齐市2025年6月建设工程造价信息
“乌鲁木齐市建设工程造价信息”简称“乌鲁木齐市造价信息”或“乌鲁木齐市建设工程信息价”,是乌鲁木齐市建设工程主管部门发布的建筑建材市场指导价。
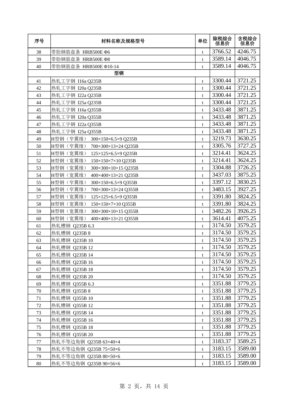
乌鲁木齐市建筑工程材料信息价是乌鲁木齐市建设工程项目造价管理、投资估算、设计概算、施工图预算、招标投标、招标控制价编制、投标报价编制、财政评审、竣工结算、审计、工程仲裁等工作的重要官方依据。
乌鲁木齐市信息价包含区域:乌鲁木齐市。
乌鲁木齐市建材信息价包含内容有:土建、装饰、安装、市政、园林等专业工程材料价格、人工价格、机械租赁价格。
乌鲁木齐市2025年第6期工程造价信息下载,乌鲁木齐市2025年6月建筑工程材料信息价查询。
1、当您付费下载文档后,您只拥有了使用权限,并不意味着购买了版权,文档只能用于自身使用,不得用于其他商业用途(如转卖或编辑后售卖)。
2、本站所有内容均由合作方或网友上传,本站不对文档的完整性、权威性及其观点立场正确性做任何保证或承诺!文档内容仅供研究参考,付费前请自行鉴别。
3、如文档内容存在违规,或者侵犯商业秘密、侵犯著作权等,请点击“违规举报”。
Q1.我下载的文件找不到了?
A.Windows电脑快捷键“Ctrl+j”,苹果(Mac)电脑按(“⌘+j”),(几乎适用所有的浏览器)。点击相应的快捷键后看电脑屏幕右上角!









